来查,看你投到哪所高校!沪2021年本科普通批投档线公布!
标签搜索

来查,看你投到哪所高校!沪2021年本科普通批投档线公布!

Mrfly
2021-07-22 / 0 评论 / 28 阅读 / 正在检测是否收录...

刚刚,市教育考试院公布了2021年上海市普通高校招生本科普通批次各院校专业组投档分数线(以下简称“投档线”)。由于本科普通批次平行志愿是根据各院校专业组实到计划按照1:1比例进行投档,因此考生若被投档至院校专业组后,大概率会被录取。需要提醒的是,考生最终能否被该院校专业组录取,或是被该院校专业组内的哪个专业录取,还要等招生院校进行专业录取后才能知道。考生可在7月25日晚登录市教育考试院官网查询录取结果。

为贯彻落实教育部关于做好普通高校招生录取工作的有关要求,积极营造尊重考生兴趣选择的良好导向,避免发生炒作高分段考生投档情况等现象,本市自2020年起不再分校公布本科普通批次高分段院校专业组投档线。2021年对此类投档线继续统一表述为 “580分及以上”,相关院校专业组包括:复旦大学(01)、复旦大学(02)、复旦大学(03)、复旦大学医学院(01)、上海交通大学(01)、上海交通大学医学院(01)、中国人民大学(01)、中国科技大学(01)等8个专业组。

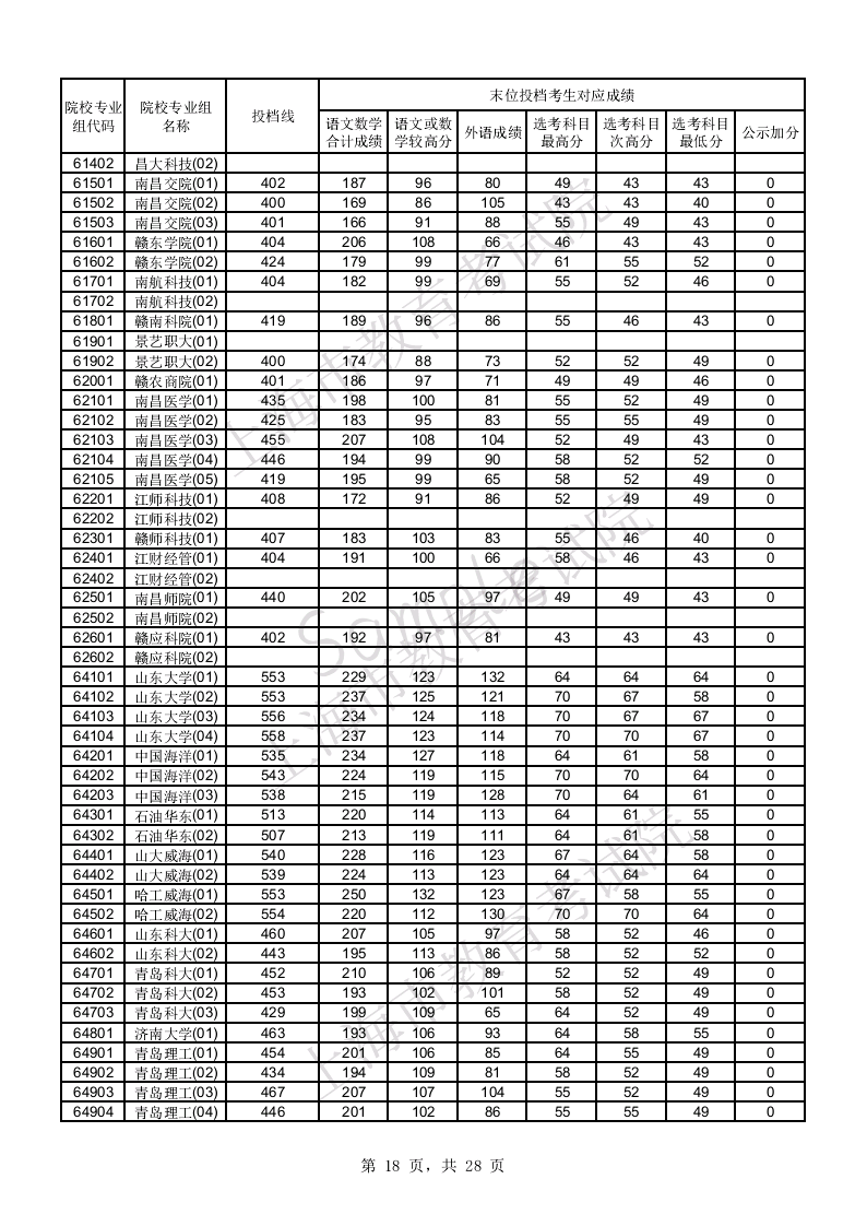
580分及以上考生的本科普通批投档信息将由市教育考试院会同考生所在中学逐一告知;580分以下考生请对照下表结合本人志愿填报情况自行判断投档去向(部分院校Q组投档结果另行公布)。

请各位考生对照下表结合本科普通批次志愿填报情况自行判断本人投档信息

1
2
3
4
5
6
7
8
9
10
11
12
13
14
15
16
17
18
19
20
21
22
23
24
25
26
27
28

目前招生录取情况如何?如何看懂各院校专业组投档分数线?同分考生如何投档?后期还有哪些事情需要关注?……
市教育考试院官方热点问答来了——

问:请介绍一下直至目前的高招录取情况?
答:6月23日公布高考成绩后,本市启动高招集中录取工作,截至目前已完成了强基计划、综合评价批次、零志愿批次、本科提前批次、本科艺体类批次和地方农村专项计划批次等录取工作,共录取考生1.1万余名。各批次的录取平稳有序,投档录取系统运行正常。自7月19日起,本科普通批次的录取工作正式开始。

问:今年本科普通批次有没有新增的招生院校?
答:今年共有558所在沪招生院校参加本科普通批次招生。其中,安徽工程大学、甘肃政法大学、汕头大学、温州大学、河南工程学院、江西应用科技学院、武汉晴川学院、仰恩大学等学校首次在沪招生。天津外国语大学、滨州学院、四川音乐学院、中国美术学院、中国戏曲学院等往年在沪招生院校今年首次在本科普通批次设置计划开展招生。

问:本科普通批次的投档录取流程如何进行?
答:本科普通批次的投档录取流程具体分为三个阶段:7月19日至21日为模拟投档阶段;7月22日,市教育考试院按照各院校专业组实到计划1:1的比例向高校正式投档;7月23日至24日,各高校按照公布的招生章程对投档考生开展专业录取工作。

问:若考生高考总分相同,该如何排序投档?
答:考生高考总分相同时,按照以下规则进行排序投档:

第1位序:比较考生的语文加数学两门合计成绩高低,高者优先;
第2位序:第1位序同分者中,比较考生的语文或数学中单科成绩高低,高者优先;
第3位序:第2位序同分者中,比较考生的外语成绩高低,高者优先;
第4位序:第3位序同分者中,比较考生的选考科目中单科成绩高低,高者优先;
第5位序:第4位序同分者中,比较考生的选考科目中次高科成绩高低,高者优先;
第6位序:第5位序同分者中,比较考生志愿顺序,按各自顺序分别投档。志愿顺序相同的同分同位考生执行同时投档。

问:今年院校专业组志愿投档成功率如何?
答:从今年志愿填报的情况可以看出,考生对志愿填报的准备较为充分,填报意向较明确,所填报的志愿有效性较高,投档成功率与往年基本持平。在24个院校专业组志愿中,前10个志愿的总体投档成功率达到了90%以上。

问:今年招生院校的投档线呈现哪些特点?
答:从实际投档情况来看,受考生关注的高水平大学整体位序基本稳定;有个别院校专业组间存在一定的分差,主要是由于各专业组间专业属性不同形成的分差。

问:如何看懂各院校专业组投档分数线?
答:院校专业组投档分数线不是事先划定的,而是在正式投档后自然形成的。在正式投档时,市教育考试院对本科录取控制分数线上的考生按高考成绩进行排序,按院校专业组实到计划的1:1进行检索投档,末位考生成绩即为该院校专业组投档分数线。一所高校有几个院校专业组,就有几条对应的院校专业组投档分数线。

参与本科普通批次投档且高考成绩在580分及以上考生的投档信息将由市教育考试院会同相关中学逐一告知考生。

580分以下的考生可根据自己的高考成绩以及所填报的志愿,按照以下方法对照公布的各院校专业组投档线,判断自己能否被投档或被投档到哪个院校专业组:

比如某考生高考成绩为550分,则他应根据自己填报的院校专业组志愿顺序进行比较,若考生填报的志愿顺序依次为上海财大(02)[投档线558分]、山东大学(01)[投档线553分]、华东理工(02)[投档线548分]、中国海洋(02)[投档线543分]、东华大学(01)[投档线535分]……其中,1至2志愿投档线都高于考生成绩,第3志愿投档线低于考生成绩,则考生被投档到第3志愿华东理工(02),不会再看考生后面填报的志愿。

若考生成绩与投档线相同,如考生A、考生B两人的高考总分均为563分,与所填报的四川大学(02)[投档线563分]相同,且两人填写在四川大学(02)之前的院校专业组志愿投档线均高于563分,则这时候就要通过末位投档考生对应成绩来进行判断:

先看考生A,按照同分排序原则,先比较语文和数学合计成绩,均为246分;则再比较语文、数学中的单科较高成绩,考生A的语数单科较高成绩141分高于四川大学(02)末位投档考生的语数单科成绩139分,故考生A被成功投档至四川大学(02),不再看后面的数据。

再看考生B,按照同分排序原则,先比较语文和数学合计成绩,均为246分;则再比较语文、数学中的单科较高成绩,均为139分;再比较外语成绩,考生B的外语成绩为122分,低于四川大学(02)末位投档考生的外语成绩125分,故考生B未能被投档至四川大学(02),考生可继续比较下一个院校专业组志愿。

需要提醒以下两点:

一是考生被投档后,各高校按照公布的招生章程对投档考生开展专业录取工作,录取完成后才能确定考生是否被该院校录取、被录取至哪个专业。

二是今年根据教育部关于规范提前批次招生院校及专业的相关要求,有部分原先在本科提前批次招生的院校专业组调整至本科普通批次招生,共12所院校(15个院校专业组),在专业组代码中以Q标注。此类院校专业组单独公布投档分数线。

问:为何不公布580分以上的院校专业组投档线?
答:为贯彻落实教育部关于做好普通高考招生录取工作的有关要求,积极营造尊重考生兴趣选择的良好导向,避免发生炒作高分段考生投档情况等现象,本市自2020年起不再分校公布本科普通批次高分段院校专业组投档线。今年对此类投档线继续统一表述为 “580分及以上”,相关院校专业组为复旦大学(01)、复旦大学(02)、复旦大学(03)、复旦大学医学院(01)、上海交通大学(01)、上海交通大学医学院(01)、中国人民大学(01)、中国科技大学(01)。

问:成功被投档至院校专业组后,一定会被招生院校录取吗?
答:由于本科普通批次平行志愿是根据各院校专业组实到计划按照1:1比例进行投档,因此考生若被投档至院校专业组后,大概率会被录取。从近年的录取情况来看,有极个别考生被院校专业组退档,原因是考生选择了不服从专业调剂,或不符合组内其他可调剂专业的体检、单科成绩限制等要求。

问:本科控制线下考生还有没有机会被本科专业录取?
答:待本科普通批次第一次征求志愿录取结束后,若仍有院校专业组未完成计划,且愿意降分录取,则将进行本科普通批次第二次征求志愿。

经研究决定,2021年上海市普通高校招生本科普通批次第二次征求志愿降分控制线为385分,降分幅度与去年一致。399分至385分之间的考生可以在第一次征求志愿录取结束后,关注“上海招考热线”网站上公布的“本科普通批次第二次征求志愿填报院校专业组缺额计划表”,选择其中愿意降分录取的相关院校专业组及专业进行填报。本科普通批次第二次征求志愿填报系统将于7月30日10:00至31日10:00在“上海招考热线”网站上开通,届时请考生及时填报。

问:后期还有哪些事情需要关注?
答:正式投档后,各招生院校将按照公布的招生章程对进档考生进行专业录取,并将录取结果反馈给市教育考试院,由市教育考试院对各校反馈结果进行审核,预计录取工作将持续到7月25日。考生可在7月25日晚通过市教育考试院“上海招考热线”网站(www.shmeea.edu.cn)查询本科普通批次录取结果。

若在本科普通批次正常投档录取结束后仍未被录取,考生还可以通过征求志愿来争取被本科院校录取的机会。本科普通批次设两次征求志愿,第一次征求志愿设在本科普通批次正常投档录取结束后进行,本科控制线上的未录取考生可于7月26日上午10:00至7月27日上午10:00通过“上海招考热线”网站进行第一次征求志愿填报,于7月29日晚查询第一次征求志愿录取结果;第二次征求志愿安排在第一次征求志愿录取结束后进行,第二次征求志愿降分控制线上的未录取考生可于7月30日上午10:00至7月31日上午10:00通过市教育考试院“上海招考热线”网站进行第二次征求志愿填报,于8月2日晚查询第二次征求志愿录取结果。

本文共 3140 个字数,平均阅读时长 ≈ 8分钟
1

打赏

海报

正在生成.....

评论 (0)

取消